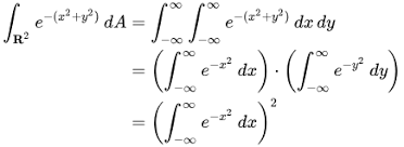
تكامل غاوسي Wikiwand
تكامل الدالة الاسية Youtube
Alkotab Net رياضيات بجروت تفاضل وتكامل25 تكامل الدالة E X احمد عمري Alkotab Net Youtube
ملزمة الرياضيات السادس العلمي الأحيائي الفصل الرابع التكامل2017 الأست
Integration Of Exponential Function تكامل الدالة الاسية Youtube
Method 2 Integral Of X E X 2 Substitution Youtube
تكامل الدالة الاسية 2 Youtube
Integral Of E Sqrt X Substitution By Parts Youtube
How Do You Find The Integral Of E X Cosx Dx Socratic
Video Finding The Integration Of A Function Involving An Exponential Function Using Integration By Parts Twice Nagwa
تكامل الدالة اللوغاريتمية Youtube
فيديو إيجاد تكامل دالة تتضمن دالة مثلثية باستخدام التكامل بالتعويض نجوى
حساب التفاضل والتكامل 2020 مقالات مثيرة للاهتمام
فيديو إيجاد تكامل الدالة باستخدام التكامل بالتعويض نجوى
لوغاريتم طبيعي ويكيبيديا